Ejercicio
de recuperación para los alumnos de tercer año, en el mes de febrero.
I.
Realiza los siguientes problemas utilizando fórmula general y teorema de
Pitágoras.
a)
El área de un triángulo es 144m2 y la base es igual a ocho veces la
altura. Encuentra la base y la altura.
b)
Se desea sujetar un gran antena, de 70m de altura para recibir señales de
televisión, con cuatro alambres sujetados a una base de 50m de lado. ¿Cuántos
metros de cable serán necesarios?
c)
El área del comedor de mi sala es de 80m2. El largo excede en 16m al
ancho. ¿Cuáles son las dimensiones de mi sala de mi comedor?
d) Calcula
el área de un trapecio isósceles, que tiene de perímetro 180cm y sus bases son
de 80 y 60cm respectivamente.
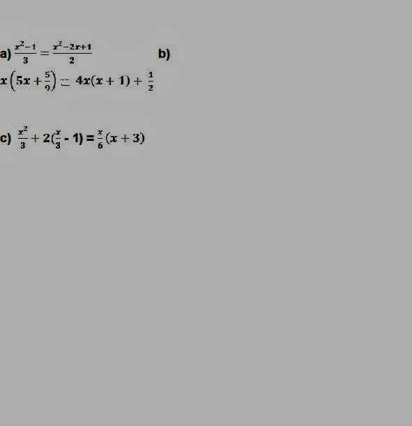
II.
Utilizando la fórmula general, halla sus soluciones de las ecuaciones y
comprueba.
.jpg)

No hay comentarios:
Publicar un comentario